2,7-Διυδροξυ-9-φθορενόνη
Mar 25, 2024
Τεχνολογία φόντου
2, η 7-διυδροξυ-9-φθορενόνη είναι ένα σημαντικό οργανικό υλικό σύνθεσης, το οποίο μπορεί να χρησιμοποιηθεί για την παρασκευή φθοριζόντων πολυμερών υλικών σιλικόνης. Μπορεί επίσης να χρησιμοποιηθεί για την παρασκευή θερμοπλαστικής ρητίνης φθορενυλο-πολυαιθεροσουλφόνης κετόνης. Επιπλέον, μπορεί να χρησιμοποιηθεί ως βασικό ενδιάμεσο για τη σύνθεση ιικής ιντερφερόνης (διαιθυλαμινο-9-φθορενόνη) και 2-υδροξυλαμινο-ακετυλ-9-φθορενόνης ως αντισπασμωδικό. Επομένως, η σύνθεση της 2, 7-διυδροξυ-9-φθορενόνης έχει σημαντική ερευνητική αξία.

Η σύνθεση της 2, 7-διυδροξυ-9-φθορενόνης αναφέρθηκε για πρώτη φορά από τον Krishna το 1967 (Journal of Medicinal Chemistry,1967,10:99-101). Χρησιμοποιώντας φθορένιο ως πρώτη ύλη, ελήφθη η 2, 7-διυδροξυ-9-φθορενόνη μέσω σουλφόνωσης, οξείδωσης, τήξης αλκαλίων και αντίδρασης κλειστού βρόχου. Αυτή η μέθοδος είναι εύκολη στην απόκτηση πρώτων υλών και χαμηλό κόστος. Ωστόσο, στη διαδικασία παρασκευής, το υπερμαγγανικό κάλιο επιλέγεται ως οξειδωτικό, υπάρχει μεγάλη ποσότητα στερεών αποβλήτων διοξειδίου του μαγγανίου, η οποία είναι δύσκολο να αντιμετωπιστεί και τα δύο τελευταία στάδια της αντίδρασης είναι η αντίδραση στερεού σε υψηλή θερμοκρασία. ο τρόπος λειτουργίας και η διαδικασία μεταφοράς μάζας στη διαδικασία αντίδρασης είναι δύσκολη και η παραγωγή εξοπλισμού αντίδρασης είναι υψηλή και είναι δύσκολο να ελεγχθεί ο βαθμός αντίδρασης.
Το 1973, οι Horner et al. (Justus Liebigs Annalen der Chemie,1973,6(5):910-935.) ανέφερε ότι ο 2-βρωμο5-μεθοξυβενζοϊκός μεθυλεστέρας και η π-ιωδοανισόλη χρησιμοποιήθηκαν ως πρώτες ύλες για την κατάλυση του χαλκού σκόνη. 4-διμεθυλαιθέρας διφαινυλ-2-μυρμηκικό οξύ και 4,4'-διμεθυλαιθέρας διβενζοϊκό οξύ. 2, η 7-διυδροξυ-9-φθορενόνη ελήφθη με τη μετατροπή της μεθοξυ ομάδας σε υδροξυλ ομάδα από το υδροβρωμικό οξύ στον κλειστό βρόχο υπό τη δράση πολυφωσφορικού. Η κατάσταση αυτής της μεθόδου είναι ήπια, αλλά η τιμή της πρώτης ύλης είναι υψηλή και το πρώτο βήμα έχει το δικό του προϊόν σύζευξης και η απόδοση είναι χαμηλή.
Το 2008, οι Jeffrey et al. (Journal of Materials Chemistry,2008,18(28):3361-3365.) ανέφερε ότι το φθορένιο χρησιμοποιήθηκε ως πρώτη ύλη και ο οξικός ανυδρίτης ως αντιδραστήριο ακυλίωσης και η ακυλίωση Fu-g πραγματοποιήθηκε υπό την κατάλυση άνυδρου A1C1. Το προϊόν στη συνέχεια υποβλήθηκε σε αναδιάταξη οξείδωσης Baeyer-Villiger με m-CPBA και τριφθοροξικό οξύ σε διαλύτη χλωροφορμίου. Το προϊόν οξειδώθηκε με διχρωμικό νάτριο και τελικά υδρολύθηκε σε 2, 7-διυδροξυ-9-φθορενόνη. Το κόστος αυτής της μεθόδου είναι υψηλό, η χρήση της παραγωγής υπεροξειδίου πρέπει να δοθεί προσοχή στην ασφάλεια και η μετεπεξεργασία διχρωμικού νατρίου είναι δύσκολη.
Προς το παρόν, η διαδικασία παραγωγής της 2, 7-διυδροξυ-9-φθορενόνης έχει τα ακόλουθα προβλήματα: 1) Λόγω των ελλείψεων του υψηλού κόστους, της επικίνδυνης λειτουργίας, της πολυπλοκότητας και της μεγάλης ποσότητας διαλύτη, είναι δύσκολο να να επιτύχει ικανοποιητικά αποτελέσματα στη βιομηχανική προετοιμασία· 2) Αυτή η διαδρομή έχει υψηλό κόστος πρώτης ύλης, χαμηλή απόδοση και δύσκολο καθαρισμό του προϊόντος. 3) Τα δύο τελευταία στάδια της αντίδρασης είναι στερεά αντίδραση υψηλής θερμοκρασίας, ο τρόπος λειτουργίας και η διαδικασία μεταφοράς μάζας στη διαδικασία αντίδρασης είναι δύσκολες και η παραγωγή απαιτεί εξοπλισμό υψηλής αντίδρασης και είναι δύσκολο να ελεγχθεί ο βαθμός αντίδρασης.
Μέθοδος προετοιμασίας
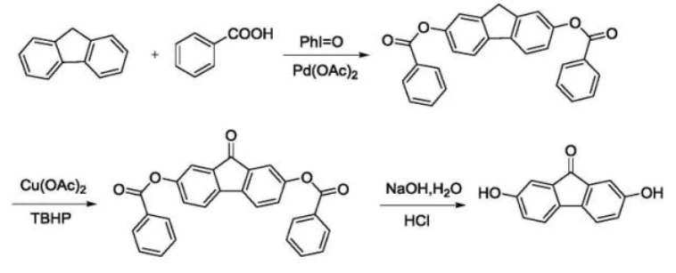
1. Προσθέστε 50 g φθορένιο, 79 g βενζοϊκό οξύ, 124 g οξείδιο αργύρου, 2 g οξικό παλλάδιο και 350 g τολουόλιο στο δοχείο αντίδρασης που είναι εξοπλισμένο με θερμόμετρο, αναδευτήρα και διαχωριστή νερού, ελέγξτε τη θερμοκρασία αντίδρασης στους 115 βαθμούς, κλασματώστε το νερό ενώ παράγεται από την αντίδραση αντιδρώντας, ψύξτε το στους 70 βαθμούς μετά από 10-15 ώρες αντίδρασης, διηθήστε το όσο είναι ζεστό, μειώστε την πίεση και συμπυκνώστε το οργανικό στρώμα μέχρι να καταβυθιστεί μεγάλος αριθμός στερεών. Προσθέστε 100 g μεθανόλης, θερμάνετε στους 50 βαθμούς, ανακατέψτε για 1 ώρα, ψύξτε στους 10 βαθμούς, εκχυλίστε και διηθήστε για να λάβετε 9h-fluoren-2, 7-διακυλδιβενζοϊκό μεθυλεστέρα, στεγνώστε 105,3 g στους 70 βαθμούς. απόδοση 85,4%.
2. Προσθέστε 100g9h-φθορένιο-2, 7-διακυλδιβενζοϊκό μεθυλεστέρα, 8,2 g οξικό χαλκό και 650 g διχλωροαιθάνιο στον αντιδραστήρα που είναι εξοπλισμένος με θερμόμετρο, αναδευτήρα και συσκευή στάλαξης σταθερής πίεσης. Ζεσταίνουμε αργά στους 50 βαθμούς και προσθέτουμε αργά 118,6 g 70% υπεροξείδιο τριτ-βουτυλίου. Αφού στάξει, κρατήστε το ζεστό για 10 ώρες. Στο τέλος της αντίδρασης, η θερμοκρασία μειώθηκε στους 10 βαθμούς και ελήφθη το υγρό προϊόν 9-οξυ-9h-φθορενίου-2, 7-διακυλδιβενζοϊκού μεθυλεστέρα με εκχύλιση και διήθηση. Το υγρό προϊόν πλύθηκε με 20 g δισθειώδους νατρίου και 115 g νερό για 1 ώρα και το τελικό προϊόν 9-oxy-9h-fluoren-2, 7-διακυλδιβενζοϊκού εκχυλίστηκε και ξηράνθηκε για να ληφθούν 96,8 g, με απόδοση 94,0%.
3. Προσθέστε 700 g νερού, 60 g ανθρακικού νατρίου και 100 G9-οξυ-9h-φθορένιο-2, 7-διακυλδιβενζοϊκό στο δοχείο αντίδρασης υπό την προστασία αζώτου. Ζεσταίνουμε 90 βαθμούς σε ατμόσφαιρα αζώτου και κρατάμε για 7 ώρες. Στο τέλος της αντίδρασης, η θερμοκρασία μειώθηκε στους 5 βαθμούς, και 47 g πυκνού υδροχλωρικού οξέος προστέθηκαν αργά στο διάλυμα της αντίδρασης. Μετά την πτώση, το υγρό διατηρήθηκε ζεστό στους 5 βαθμούς για 1 ώρα, και στη συνέχεια αντλήθηκε και διηθήθηκε για να ληφθούν 52 g υγρού προϊόντος 2, 7-διυδροξυ-9-φθορενόνης. Το υγρό προϊόν στη συνέχεια πλύθηκε με 52 g μεθανόλης στους 15-20 βαθμούς για 1 ώρα, ψύχθηκε στους 5 βαθμούς, διηθήθηκε και ξηράνθηκε για να ληφθούν 47,1 g 2, 7-διυδροξυ-9-φθορενόνης. Η καθαρότητα HPLC ήταν 99,8% και η απόδοση 94,2%.


